⛷️❄️ **First Ski Day Success!** ❄️🏂
Absarokee Elementary students had an amazing first ski day of the season at Red Lodge Mountain! Our students spent the day learning to ski and snowboard with the help of the fantastic instructors at Red Lodge Mountain.
From first turns to big smiles, the kids worked hard, learned new skills, and had an incredible time on the mountain. We are so proud of their effort and positive attitudes while trying something new!
A huge thank you to the instructors, staff and volunteers who helped make the day such a great experience for our students. We can’t wait for ski day #2! ⛷️🏔️😊










High School Track and Softball will have their first practice on March 16th. JH Track will have their first practice on March 30th. If you have any question please call the high school office.
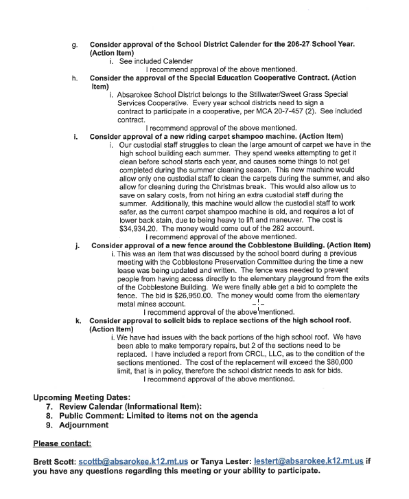
Here is the March School Board Agenda.


JH FCS students designed their own quilt blocks on a 3x3 grid and then cut and sewed the real thing.

Elementary art students hard at work







The EXTREME II OBSTACLE COURSE has arrived! The competition will be fierce! Congratulations to all of our students that earned their reading goals and a big THANK YOU to the Stillwater Boosters for making this happen!

Thank you to Phil, Miss Sandy and the high school kiddos that came down and helped get the 600 pound Bounce in the gym for the elementary students! Mrs. Shupe and every single student in the elementary school also thanks you!


JH Open Gym Volleyball is canceled for tonight, Wednesday, March 4th.

Science Fair

Congratulations to this week's Pax Leaders!

Second through fifth grades are headed to Red Lodge to see an original play by Montana Shakes! Permission slips are due on Monday, March 2nd.

Elementary Ski Day Payment #2 is due on Monday, March 2nd.

These distinguished senior citizens were busy with 100 Days of School activities. A good time was had by all and no one threw out their hip!










These distinguished senior citizens were busy with 100 Days of School activities. A good time was had by all and no one threw out their hip!










At exactly the right moment, pencils paused, chairs froze, and little hands reached for books.
Operation: Drop Everything and Read was a total success. 📖💥







This Sunday, March 1, from 2-4pm at the Mainstreet Commons. Come try-on, buy, sell, donate prom dresses.

GOOD LUCK, HUSKIES! 🔥
Unleash the Pack.
Dominate the Court.
Bring Home the Win! 🏆🏀

Absarokee Junior High and High School are excited to announce the formation of our Unified Club! This club is part of the Unified Champion Schools program through Special Olympics and focuses on boosting inclusion, connection, and belonging within our school community.
To kick things off, the Unified Club is excited to announce Unified Inclusion Week, happening the first week of March! This special week will bring awareness, celebrate differences, and promote unity throughout our school and the greater community.
To kick things off, the Unified Club is excited to announce Unified Inclusion Week, happening the first week of March! This special week will bring awareness, celebrate differences, and promote unity throughout our school and the greater community.

7th and 8th grade science students spent Monday exploring the incredible Museum of the Rockies in Bozeman!
They experienced a space show in the Taylor Planetarium, toured the world-renowned Siebel Dinosaur Complex fossil collection, and explored exhibits throughout the museum.
So proud of how engaged and curious they were all day. Learning beyond the classroom is the best kind of learning!
They experienced a space show in the Taylor Planetarium, toured the world-renowned Siebel Dinosaur Complex fossil collection, and explored exhibits throughout the museum.
So proud of how engaged and curious they were all day. Learning beyond the classroom is the best kind of learning!






Snuggled up and shining bright!
Our students celebrated the ending of I Love to Read Month in the coziest way possible — Pajama Day! From little learners to our oldest readers, everyone enjoyed buddy reading across grade levels. There’s something extra special about sharing a good book with a flashlight and a friend. At Absarokee Elementary we are building a love of reading, one cozy page at a time!






